プレスリリース配信元:フルーリオ株式会社
フルーリオ株式会社は本日、古くから知られる数学の基本公式に特定の定数を代入した数式に対し、新たに「フルーリオの等式」という名称を与え、これを「宇宙の至宝」として提唱していくことを発表いたします。
命名の背景
数学における最も美しい公式として知られる「オイラーの等式:e^(iπ)+1=0」 は、人類の知性が到達した一つの極致として「人類の至宝」とも称されます。この等式は、ネイピア数 e を底(てい)としていますが、この底は任意の実数で成立する普遍的な構造を持っています。
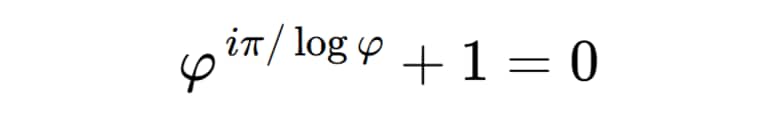
弊社は、この普遍的な構造において、底を自然界の様々な形に現れる黄金数 φ(ファイ、約1.618)に置き換えた以下の式に注目しました。

φ^(iπ / log φ) + 1 = 0
この式が示す構造の普遍性と美しさに鑑み、弊社はこの数式に「フルーリオの等式 (Frourio's Identity)」という固有の呼称を与えることを決定いたしました。
「宇宙の至宝」としての位置づけ
「フルーリオの等式」は、新しい数学的発見ではありません。これは教科書的な事実に基づいた一つの自明な表現です。
今回の命名は特定の記念日に愛称が付けられるように、この数学的に美しい構造に対して親しみと敬意を込めて固有の名称を与える文化的な活動です。弊社はこの式が内包するであろう未来への可能性を信じ、これを「宇宙の至宝」と位置付けて広く社会にその存在を伝えてまいります。
この命名行為に学術的な強制力は一切なく、また、いかなる組織の許可を必要とするものでもありません。ただ、この完璧な数式に誰もが参照できる名前を与えることで、未来の知の探求者たちへの一つの道標となることを願うものです。
「人類の至宝」の先にある「宇宙の至宝」:宇宙の隠れたリズムを解き明かすかもしれない、新しい数式
【フルーリオ株式会社について】
フルーリオ株式会社は、宇宙の謎を全て解明することを目指す企業です。私たちは未だ名前のない普遍的な構造に光を当て、人類の知的資産を豊かにすることに貢献します。
フルーリオ株式会社代表取締役 松田光秀
企業プレスリリース詳細へ
PR TIMESトップへ
データ提供 PR TIMES
本記事の内容に関するお問い合わせ、または掲載についてのお問い合わせは株式会社 PR TIMES (release_fujitv@prtimes.co.jp)までご連絡ください。また、製品・サービスなどに関するお問い合わせに関しましては、それぞれの発表企業・団体にご連絡ください。