プレスリリース配信元:株式会社エルテックス
エルテックス「通信販売に関する【消費者調査】2025年」ネット上での調べ物×通販購入時のAI利用実態
通販システム構築・支援/ECサイト構築を主要事業として手がけている株式会社エルテックス(本社:神奈川県横浜市保土ヶ谷区 代表取締役社長 森 久尚 以下、エルテックス)は、通信販売に関する「消費者の行動や意識」を集計・分析した調査結果の最新版を発表しました。

通信販売に関する第26回目の定期調査
エルテックスでは、通販システム・ECシステムの【統合構築】を積極的に推進しており、通信販売に関する市場動向を考慮した独自調査「通信販売に関する【消費者調査】2025年」を実施しました。
本調査では、昨今利用が拡大するAIツールが、生活者の調べ物行動や通販購入行動にどのような変化をもたらしているかを調査・分析。弊社中核顧客である通販企業の先の、一般の消費者行動や意識を把握することで、通販やECに関する弊社ソリューションサービスを改善し、顧客通販企業へ提供しているサービス強化やビジネス貢献につなげて行きたいと考えています。
通販・ECコラム:https://dc.eltex.co.jp/research_column/
調査結果サマリー
1. ネット上での調べ物にAIを活用する生活者は5割に迫る(46.8ポイント)
2. 利用しているAIツールのトップ2ボックスは「チャット・ジーピーティー(66.5ポイント)と「ジェミニ(47.5ポイント)」
3. 通販の商品購入検討時AIツール利用経験者の3人に2人(65.2ポイント)がAIツールを活用
「通販での商品購入時のAI利用実態」の説明とグラフ
1) ネット上での調べ物にAIを活用する生活者は5割に迫る(46.8ポイント)
質問項目)
あなたがここ半年くらいで、パソコンやスマホを使って「調べ物をしているとき」に、AIを活用した検索アプリやサイトに関してあてはまるものをひとつだけお選びください。
※( )内の%は調べ物全体に占めるAIアプリ・サイトの活用度合い。(単一回答)
◇回答に見る特徴
ここ半年の「調べ物」でAIを使ったかを尋ねたところ、「毎回ほとんど使う(13.5ポイント)」「使っているほう(14.8ポイント)」「たまに使っている(18.5ポイント)」をあわせて5割(46.8ポイント)に迫る数値となりました。
年代別では、20~30代での利用率が高く、20代では「たまに使っている」までの回答者は6割越え(63.3ポイント)になっています。40~50代、さらには60代でも一定の利用が確認されました。流行語のひとつとして「チャッピー(チャットGTPの略称)」が選ばれたこともあり、AIが特定世代の専用ツールという認識は崩れつつあり、検索の延長線上にある自然な選択肢として受け入れられていることが示唆されました。
調べ物に占めるAI利用度は若年層ほど高く、検索の起点が「キーワード入力」から「AIへの質問」へ移行しつつあると言えるかもしれません。一方、中高年層は利用経験があるものの活用度は若年層に比べて若干浅く、AIへの依存度には年代差が残っています。

ネットでの調べ物にAIを活用(全体・性・年代)
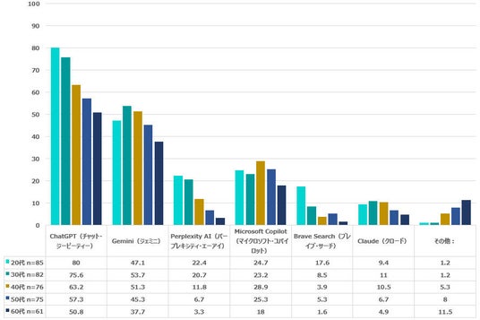
2) 利用されているAIツールのトップ2ボックスは「チャット・ジーピーティー(66.5ポイント)と「ジェミニ(47.5ポイント)」
質問項目)
あなたが調べ物で使ったことがある、アプリやサイトをいくつでもお選びください(複数回答)
◇回答に見る特徴
利用しているAIツールとしては、チャット・ジーピーティー(66.5ポイント)で、男女での差は認められませんでした。一方、2番手以下のツールでは性差が見られ、本設問が複数回答であることから、男性の方がジェミニやマイクロソフト・コパイロットといった複数のAIツールを使っていることが明らかです。

利用しているAIツール(全体・性、複数回答)

利用しているAIツール(年代、複数回答)
3) 通販の商品購入検討時AIツール利用経験者の3人に2人(65.2ポイント)がAIツールを活用
質問項目)
あなたが使ったことがあると答えたAIアプリやサイトで、「EC」や「通販広告(テレビや新聞など)」を見て、「モノやサービスの購入を検討している時に限った場合」での使用頻度について、あてはまるものをひとつだけお選びください。対象期間は同じく、ここ半年くらいです。(単一回答)
◇回答に見る特徴
AIを使ったことがある生活者に対し、「通販商品の購入を検討する場面」に限定したAI活用度を調べたところ、60代を除く世代で利用率は6割を超えており、20代では8割(81.2ポイント)越えでAIが利用されていることが明らかになりました
他世代に比較して少ないとはいえ、60代でも約4割(42.6ポイント)のAI活用が確認されました。この年代が購入することが多い健康食品や化粧品などは情報量が多く、比較検討が必要な商材が多いことから、AIの要約・整理機能が高齢層にとっても有効に働いているといった可能性は否定できないでしょう。

通販の商品検討時のAIツール利用(全体・性・年代)
調査概要
調査エリア: 全国
調査対象者: infoQ by GMO調査パネルを利用
調査方法: ネット方式による、アンケート調査
調査期間: 2025年11月25日~27日
回収サンプル数: 600
調査主体: 株式会社エルテックス
調査実施機関: 楽天リサーチ株式会社
株式会社エルテックス
会社概要
商 号 株式会社エルテックス (ELTEX, Inc.)
本 社 横浜市保土ヶ谷区神戸町134番地 横浜ビジネスパーク イーストタワー 14階
TEL (045)332-6655 FAX (045)332-6644
URL: http://www.eltex.co.jp
設 立 1985年(昭和60年)12月14日
資本金 1億円
代表者 代表取締役社長 森 久尚
事業年度 7月1日~6月30日
売上高 37億円
従業員数 152名(内技術職115名)
主力事業 通販/EC統合システム「エルテックスDC」 https://dc.eltex.co.jp/
企業プレスリリース詳細へ
PR TIMESトップへ
データ提供 PR TIMES
本記事の内容に関するお問い合わせ、または掲載についてのお問い合わせは株式会社 PR TIMES (release_fujitv@prtimes.co.jp)までご連絡ください。また、製品・サービスなどに関するお問い合わせに関しましては、それぞれの発表企業・団体にご連絡ください。