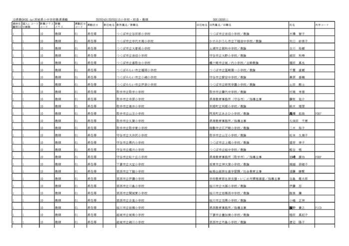
茨城県教育委員会は2026年4月1日付の公立学校教職員の異動について発表した。
水戸教育事務所管内 中学校の教諭等の異動は以下の通り。
(全2回の2)
凡例
氏名 新職クラス 異動区分
新所属名/新職名
(旧所属名・旧職名)
教諭等・退職
◆丸山恵美子 教諭 退職
(水戸市立第一中学校)
◆伊舎堂裕也 教諭 退職
(水戸市立第一中学校)
◆大野純一 教諭 退職
(水戸市立第三中学校)
◆岡崎弦 教諭 退職
(水戸市立第三中学校)
◆櫻井真 教諭 退職
(水戸市立緑岡中学校)
◆神永孝史 教諭 退職
(水戸市立第四中学校)
◆竹貫裕文 教諭 退職
(水戸市立第四中学校)
◆坂本雄大 教諭 退職
(水戸市立第四中学校)
◆小貫陽介 教諭 退職
(水戸市立第四中学校)
◆石川恵子 教諭 退職
(水戸市立見川中学校)
◆小森いづみ 教諭 退職
(水戸市立常澄中学校)
◆江間留美子 教諭 退職
(水戸市立常澄中学校)
◆大谷拓也 教諭 退職
(水戸市立常澄中学校)
◆上山修 教諭 退職
(笠間市立友部中学校)
◆大内咲季 教諭 退職
(笠間市立友部中学校)
◆馬場直美 教諭 退職
(笠間市立友部第二中学校)
◆大沼実奈子 教諭 退職
(笠間市立みなみ学園義務教育学校)
◆金木慶子 教諭 退職
(笠間市立みなみ学園義務教育学校)
◆常井由香里 教諭 退職
(小美玉市立小川南中学校)
◆郡司法子 教諭 退職
(小美玉市立美野里中学校)
◆藤枝千尋 教諭 退職
(小美玉市立玉里学園義務教育学校)
◆三浦まい 教諭 退職
(ひたちなか市立勝田第一中学校)
◆山田伊都子 教諭 退職
(ひたちなか市立大島中学校)
◆小森茂 教諭 退職
(常陸大宮市立山方中学校)
◆大珷友里恵 教諭 退職
(常陸大宮市立山方中学校)
◆小池史織 教諭 退職
(那珂市立第一中学校)
◆藤本幸恵 教諭 退職
(大子町立大子中学校)
教諭等・転任
◆青木大地 教諭 転任
総務企画部総務課(堀原運動公園)/指導主事
(水戸市立飯富中学校/教諭)
◆直江良雄 教諭 転任
学校教育部保健体育課/指導主事
(水戸市立石川中学校/教諭)
◆古平淳記 教諭 転任
水戸市教育委員会/指導主事
(水戸市立常澄中学校/教諭)
◆河島知佳 教諭 転任
勝田中等教育学校/教諭
(水戸市立内原中学校/教諭)
◆飯田将志 教諭 転任
茨城大学教育学部附属特別支援学校/教諭
(笠間市立みなみ学園義務教育学校/教諭)
◆寺内博雅 教諭 転任
水戸教育事務所(笠間市)/指導主事
(笠間市立みなみ学園義務教育学校/教諭)
◆平澤孝教 教諭 転任
小美玉市教育委員会/社会教育主事
(小美玉市立小川南中学校/教諭)
◆柏潤 教諭 転任
水戸教育事務所(ひたちなか市)/指導主事
(ひたちなか市立勝田第一中学校/教諭)
◆鈴木桂介 教諭 転任
ひたちなか市教育委員会/社会教育主事
(ひたちなか市立勝田第三中学校/教諭)
◆豊田一暁 教諭 転任
水戸教育事務所(ひたちなか市)/指導主事
(ひたちなか市立佐野中学校/教諭)
◆大森貴弘 教諭 転任
勝田中等教育学校/教諭
(ひたちなか市立佐野中学校/教諭)
◆小野瀬真勇 教諭 転任
茨城大学教育学部附属中学校/教諭
(ひたちなか市立大島中学校/教諭)
◆三浦和紗 教諭 転任
勝田中等教育学校/教諭
(ひたちなか市立美乃浜学園/教諭)
◆石川友康 教諭 転任
水戸教育事務所(東海村)/指導主事
(東海村立東海南中学校/教諭)
◆川﨑真 教諭 転任
生活文化課/係長
(常陸大宮市立大宮中学校/教諭)
◆田澤健吾 教諭 転任
教育研修センター/指導主事
(那珂市立瓜連中学校/教諭)
教諭等・新採等
◆秋山拓也 教諭 新採用
水戸市立第一中学校
(新規採用)
◆黒澤崚介 教諭 新採用
水戸市立第一中学校
(新規採用)
◆落合太陽 教諭 新採用
水戸市立第一中学校
(新規採用)
◆大内勇人 教諭 新採用
水戸市立第三中学校
(新規採用)
◆横山美空 教諭 新採用
水戸市立緑岡中学校
(新規採用)
◆高木惇 教諭 新採用
水戸市立緑岡中学校
(新規採用)
◆大村航平 教諭 新採用
水戸市立第四中学校
(新規採用)
◆島有我 教諭 新採用
水戸市立第四中学校
(新規採用)
◆石井凜佳 教諭 新採用
水戸市立第四中学校
(新規採用)
◆吉川裕之 教諭 新採用
水戸市立第四中学校
(水戸市教育委員会/指導主事)
◆鈴木俊也 教諭 新採用
水戸市立第五中学校
(新規採用)
◆鈴木千愛 教諭 新採用
水戸市立見川中学校
(新規採用)
◆坂主凛 教諭 新採用
水戸市立見川中学校
(新規採用)
◆曳地拓人 教諭 新採用
水戸市立笠原中学校
(新規採用)
◆安斎遥香 教諭 新採用
水戸市立笠原中学校
(新規採用)
◆小室亜沙美 教諭 新採用
水戸市立常澄中学校
(新規採用)
◆八代裕太 教諭 新採用
水戸市立常澄中学校
(新規採用)
◆坂場雪華 教諭 新採用
水戸市立常澄中学校
(水戸高等特別支援学校/教諭)
◆竹江諒太 教諭 新採用
水戸市立内原中学校
(新規採用)
◆河上麻衣 教諭 新採用
茨城町立明光中学校
(新規採用)
◆平山樹希 教諭 新採用
茨城町立明光中学校
(新規採用)
◆内山稀夢 教諭 新採用
笠間市立友部中学校
(新規採用)
◆鈴木悠太 教諭 新採用
笠間市立友部中学校
(新規採用)
◆岩瀬詩歩 教諭 新採用
笠間市立友部第二中学校
(新規採用)
◆菊田侑奈 教諭 新採用
笠間市立みなみ学園義務教育学校
(新規採用)
◆伊藤愛華 教諭 新採用
小美玉市立小川南中学校
(新規採用)
◆長谷川翔平 教諭 新採用
小美玉市立美野里中学校
(新規採用)
◆大山寧々 教諭 新採用
小美玉市立美野里中学校
(新規採用)
◆畑山晴輝 教諭 新採用
小美玉市立美野里中学校
(勝田中等教育学校/教諭)
◆榎本久美子 教諭 新採用
小美玉市立小川北義務教育学校
(新規採用)
◆長島璃音 教諭 新採用
小美玉市立小川北義務教育学校
(新規採用)
◆仲田友紀子 教諭 新採用
城里町立桂中学校
(新規採用)
◆木藤美莉 教諭 新採用
ひたちなか市立勝田第一中学校
(新規採用)
◆井上理恵 教諭 新採用
ひたちなか市立勝田第一中学校
(勝田中等教育学校/教諭)
◆濱口恵里 教諭 新採用
ひたちなか市立勝田第二中学校
(新規採用)
◆髙瀬美保子 教諭 新採用
ひたちなか市立勝田第三中学校
(新規採用)
◆伊澤恭陽 教諭 新採用
ひたちなか市立佐野中学校
(新規採用)
◆浅野瑞樹 教諭 新採用
ひたちなか市立佐野中学校
(新規採用)
◆米川梨沙 教諭 新採用
ひたちなか市立佐野中学校
(茨城大学教育学部附属特別支援学校/教諭)
◆勝村慶太郞 教諭 新採用
ひたちなか市立大島中学校
(新規採用)
◆田村花梨 教諭 新採用
ひたちなか市立大島中学校
(新規採用)
◆大森公美 教諭 新採用
ひたちなか市立大島中学校
(水戸飯富特別支援学校/教諭)
◆増田裕 教諭 新採用
ひたちなか市立田彦中学校
(新規採用)
◆新谷淳子 教諭 新採用
ひたちなか市立田彦中学校
(教育研修センター/指導主事)
◆大内琴葉 教諭 新採用
ひたちなか市立美乃浜学園
(新規採用)
◆溝口椋太 教諭 新採用
大洗町立第一中学校
(新規採用)
◆篠原萌香 教諭 新採用
大洗町立第一中学校
(新規採用)
◆鈴木康弘 教諭 新採用
大洗町立第一中学校
(茨城大学教育学部附属特別支援学校/教諭)
◆熊谷綾弥 教諭 新採用
東海村立東海南中学校
(新規採用)
◆川又未来 教諭 新採用
常陸大宮市立第二中学校
(新規採用)
◆菊池空良 教諭 新採用
常陸大宮市立大宮中学校
(新規採用)
◆奥田悠斗 教諭 新採用
常陸大宮市立明峰中学校
(新規採用)
◆都築柊人 教諭 新採用
那珂市立第一中学校
(新規採用)
◆中山弥枝 教諭 新採用
那珂市立第一中学校
(新規採用)
◆樋口綾乃 教諭 新採用
那珂市立第二中学校
(新規採用)
◆鎮目隼斗 教諭 新採用
那珂市立第四中学校
(新規採用)
◆小室百花 教諭 新採用
那珂市立第四中学校
(新規採用)
◆内山柊哉 教諭 新採用
大子町立大子中学校
(新規採用)
◆加藤木康之 教諭 新採用
大子町立大子中学校
(新規採用)
◆青山侑誠 教諭 新採用
大子町立大子中学校
(新規採用)
◆アティリーイアンイアンジョン 本採講師 新採用
小美玉市立小川北義務教育学校
(新規採用)
◆バディベル-デーエン 本採講師 新採用
城里町立常北中学校
(新規採用)
◆ハズバンズトマスジェームズ 本採講師 新採用
ひたちなか市立大島中学校
(新規採用)
◆那珂沙南 養護教諭 新採用
水戸市立笠原中学校
(新規採用)
◆小島弥由 養護教諭 新採用
東海村立東海南中学校
(新規採用)
◆根本藍 養護教諭 新採用
那珂市立第三中学校
(学校教育部保健体育課/指導主事)
◆布施琴美 事務職員 新採用
水戸市立笠原中学校
(新規採用)
◆金澤響 事務職員 新採用
ひたちなか市立勝田第一中学校
(新規採用)
◆祖田真友子 事務職員 新採用
東海村立東海南中学校
(新規採用)
教諭等・配置換え等
◆石井容子 教諭 配置換え
日立市立久慈小学校/教諭
(水戸市立第一中学校/教諭)
◆内赤玲奈 教諭 配置換え
水戸市立飯富小学校/教諭
(水戸市立第一中学校/教諭)
◆大津和輝 教諭 配置換え
笠間市立笠間小学校/教諭
(水戸市立第一中学校/教諭)
◆川﨑美和 教諭 配置換え
大洗町立南中学校/教諭
(水戸市立第二中学校/教諭)
◆川太雅尚 教諭 配置換え
水戸市立上中妻小学校/教諭
(水戸市立第二中学校/教諭)
◆菊地良夫 教諭 配置換え
ひたちなか市立勝田第二中学校/教諭
(水戸市立第三中学校/教諭)
◆田所麻記子 教諭 配置換え
日立市立台原中学校/教諭
(水戸市立第三中学校/教諭)
◆石川文貴 教諭 配置換え
古河市立総和南中学校/教諭
(水戸市立第三中学校/教諭)
◆海老根麻斗 教諭 配置換え
大洗町立南小学校/教諭
(水戸市立第三中学校/教諭)
◆渡邊晴哉 教諭 配置換え
行方市立麻生小学校/教諭
(水戸市立第三中学校/教諭)
◆栗原大地 教諭 配置換え
水戸市立双葉台中学校/教諭
(水戸市立第三中学校/教諭)
◆三村将司 教諭 配置換え
茨城町立青葉小学校/教諭
(水戸市立第四中学校/教諭)
◆豊田和紀 教諭 配置換え
水戸市立双葉台中学校/教諭
(水戸市立第四中学校/教諭)
◆雨谷大輔 教諭 配置換え
茨城町立青葉中学校/教諭
(水戸市立第四中学校/教諭)
◆大沼礼 教諭 配置換え
水戸市立吉沢小学校/教諭
(水戸市立第四中学校/教諭)
◆國府田郁子 教諭 配置換え
水戸市立第五中学校/教諭
(水戸市立第四中学校/教諭)
◆大髙美月 教諭 配置換え
水戸市立笠原中学校/教諭
(水戸市立第四中学校/教諭)
◆佐藤宏太 教諭 配置換え
北茨城市立磯原中学校/教諭
(水戸市立第四中学校/教諭)
◆堀江陽子 教諭 配置換え
水戸市立河和田小学校/教諭
(水戸市立第四中学校/教諭)
◆猪又陽平 教諭 配置換え
水戸市立吉田小学校/教諭
(水戸市立飯富中学校/教諭)
◆伊師麻奈 教諭 配置換え
水戸市立第四中学校/教諭
(水戸市立飯富中学校/教諭)
◆中田大裕 教諭 配置換え
水戸市立下大野小学校/教諭
(水戸市立赤塚中学校/教諭)
◆長尾崇史 教諭 配置換え
水戸市立千波小学校/教諭
(水戸市立赤塚中学校/教諭)
◆飯村結花 栄養教諭 配置換え
水戸市立吉田小学校/栄養教諭
(水戸市立赤塚中学校/栄養教諭)
◆野瀬佳代乃 教諭 配置換え
水戸市立内原中学校/教諭
(水戸市立第五中学校/教諭)
◆久保田紀子 教諭 配置換え
茨城町立明光中学校/教諭
(水戸市立第五中学校/教諭)
◆笠原卓也 教諭 配置換え
水戸市立第三中学校/教諭
(水戸市立第五中学校/教諭)
◆髙坂綾香 教諭 配置換え
水戸市立浜田小学校/教諭
(水戸市立第五中学校/教諭)
◆益子夏実 教諭 配置換え
水戸市立国田義務教育学校/教諭
(水戸市立第五中学校/教諭)
◆奥川潤 事務職員 配置換え
水戸市立鯉淵小学校/主任
(水戸市立第五中学校/主任)
◆寺山増美 教諭 配置換え
水戸市立千波中学校/教諭
(水戸市立見川中学校/教諭)
◆安達実花 教諭 配置換え
土浦市立土浦第二中学校/教諭
(水戸市立見川中学校/教諭)
◆市毛友彬 教諭 配置換え
水戸市立石川中学校/教諭
(水戸市立見川中学校/教諭)
◆竹林麻衣 栄養教諭 配置換え
水戸市立梅が丘小学校/栄養教諭
(水戸市立見川中学校/栄養教諭)
◆鳥居塚美和 教諭 配置換え
ひたちなか市立勝田第二中学校/教諭
(水戸市立双葉台中学校/教諭)
◆高田雄太 教諭 配置換え
水戸市立笠原中学校/教諭
(水戸市立双葉台中学校/教諭)
◆根本洸希 教諭 配置換え
取手市立永山中学校/教諭
(水戸市立双葉台中学校/教諭)
◆大久保良弘 教諭 配置換え
ひたちなか市立勝田第二中学校/教諭
(水戸市立石川中学校/教諭)
◆二川里枝 教諭 配置換え
水戸市立第四中学校/教諭
(水戸市立石川中学校/教諭)
◆滑川理 教諭 配置換え
水戸市立第一中学校/教諭
(水戸市立石川中学校/教諭)
◆大内かおり 教諭 配置換え
水戸市立笠原中学校/教諭
(水戸市立石川中学校/教諭)
◆江幡りのん 教諭 配置換え
笠間市立笠間小学校/教諭
(水戸市立石川中学校/教諭)
◆小田嶋孝 教諭 配置換え
ひたちなか市立勝田第三中学校/教諭
(水戸市立笠原中学校/教諭)
◆須沢あゆみ 教諭 配置換え
鉾田市立鉾田北小学校/教諭
(水戸市立笠原中学校/教諭)
◆原田知治 教諭 配置換え
水戸市立双葉台中学校/教諭
(水戸市立笠原中学校/教諭)
◆齋藤晴哉 教諭 配置換え
笠間市立岩間第一小学校/教諭
(水戸市立笠原中学校/教諭)
◆中嶋俊介 教諭 配置換え
笠間市立友部第二中学校/教諭
(水戸市立笠原中学校/教諭)
◆東ヶ﨑典子 教諭 配置換え
水戸市立第五中学校/教諭
(水戸市立千波中学校/教諭)
◆半田雄祐 教諭 配置換え
水戸市立笠原小学校/教諭
(水戸市立千波中学校/教諭)
◆齊藤亮太 教諭 配置換え
水戸市立第三中学校/教諭
(水戸市立千波中学校/教諭)
◆辻尾恵理香 教諭 配置換え
水戸市立飯富小学校/教諭
(水戸市立千波中学校/教諭)
◆國藤千枝子 教諭 配置換え
水戸市立内原中学校/教諭
(水戸市立常澄中学校/教諭)
◆林和一 教諭 配置換え
水戸市立双葉台中学校/教諭
(水戸市立常澄中学校/教諭)
◆佐藤聡子 教諭 配置換え
つくば市立高山中学校/教諭
(水戸市立常澄中学校/教諭)
◆大越範昭 教諭 配置換え
水戸市立石川中学校/教諭
(水戸市立内原中学校/教諭)
◆藤沼祥子 教諭 配置換え
城里町立常北中学校/教諭
(水戸市立内原中学校/教諭)
◆篠崎繁美 教諭 配置換え
水戸市立飯富小学校/教諭
(水戸市立内原中学校/教諭)
◆諏佐由佳 教諭 配置換え
水戸市立千波中学校/教諭
(水戸市立内原中学校/教諭)
◆金澤俊治 教諭 配置換え
水戸市立笠原中学校/教諭
(水戸市立内原中学校/教諭)
◆藤村麻由 教諭 配置換え
牛久市立ひたち野うしく中学校/教諭
(水戸市立内原中学校/教諭)
◆白土竜平 教諭 配置換え
水戸市立稲荷第二小学校/教諭
(水戸市立国田義務教育学校/教諭)
◆木名瀬愛佳 教諭 配置換え
水戸市立寿小学校/教諭
(水戸市立国田義務教育学校/教諭)
◆浜渡万実 養護教諭 配置換え
水戸市立石川小学校/養護教諭
(水戸市立国田義務教育学校/養護教諭)
◆深谷直斗 事務職員 配置換え
常陸太田市立世矢中学校/主事
(水戸市立国田義務教育学校/主事)
◆田口真帆 教諭 配置換え
鉾田市立大洋小学校/教諭
(茨城町立明光中学校/教諭)
◆大友花奈 教諭 配置換え
牛久市立ひたち野うしく中学校/教諭
(茨城町立明光中学校/教諭)
◆福島弘 事務職員 配置換え
鉾田市立鉾田北小学校/係長
(茨城町立明光中学校/係長)
◆戸井田竜也 教諭 配置換え
茨城町立葵小学校/教諭
(茨城町立青葉中学校/教諭)
◆中山直樹 教諭 配置換え
ひたちなか市立勝田第一中学校/教諭
(茨城町立青葉中学校/教諭)
◆上山あゆみ 教諭 配置換え
水戸市立内原中学校/教諭
(笠間市立笠間中学校/教諭)
◆黒鳥高廣 教諭 配置換え
水戸市立見川中学校/教諭
(笠間市立笠間中学校/教諭)
◆川田杏子 養護教諭 配置換え
小美玉市立小川南中学校/養護教諭
(笠間市立笠間中学校/養護教諭)
◆関野映美 教諭 配置換え
小美玉市立美野里中学校/教諭
(笠間市立稲田中学校/教諭)
◆田代宜弘 教諭 配置換え
ひたちなか市立勝田第三中学校/教諭
(笠間市立稲田中学校/教諭)
◆根本義仁 教諭 配置換え
水戸市立見川中学校/教諭
(笠間市立友部中学校/教諭)
◆眞家優花 教諭 配置換え
石岡市立園部小学校/教諭
(笠間市立友部中学校/教諭)
◆谷中貴子 教諭 配置換え
笠間市立岩間第二小学校/教諭
(笠間市立友部第二中学校/教諭)
◆安達悠 教諭 配置換え
那珂市立第三中学校/教諭
(笠間市立友部第二中学校/教諭)
◆久保田直希 教諭 配置換え
桜川市立岩瀬東中学校/教諭
(笠間市立友部第二中学校/教諭)
◆相馬翠乃 教諭 配置換え
小美玉市立羽鳥小学校/教諭
(笠間市立友部第二中学校/教諭)
◆亀山琉太 教諭 配置換え
筑西市立関城中学校/教諭
(笠間市立友部第二中学校/教諭)
◆木村妙子 養護教諭 配置換え
笠間市立笠間中学校/養護教諭
(笠間市立友部第二中学校/養護教諭)
◆川村義幸 教諭 配置換え
笠間市立笠間中学校/教諭
(笠間市立岩間中学校/教諭)
◆森若菜 教諭 配置換え
茨城町立明光中学校/教諭
(笠間市立岩間中学校/教諭)
◆吉澤沙利 事務職員 配置換え
茨城町立明光中学校/係長
(笠間市立岩間中学校/係長)
◆鈴木志子 教諭 配置換え
ひたちなか市立那珂湊第三小学校/教諭
(笠間市立みなみ学園義務教育学校/教諭)
◆大島充史 教諭 配置換え
笠間市立稲田中学校/教諭
(笠間市立みなみ学園義務教育学校/教諭)
◆大野明美 教諭 配置換え
笠間市立友部第二中学校/教諭
(笠間市立みなみ学園義務教育学校/教諭)
◆宇佐美渉 教諭 配置換え
笠間市立友部小学校/教諭
(笠間市立みなみ学園義務教育学校/教諭)
◆大久保雄也 教諭 配置換え
桜川市立岩瀬西中学校/教諭
(笠間市立みなみ学園義務教育学校/教諭)
◆塩幡聡美 教諭 配置換え
笠間市立友部第二小学校/教諭
(笠間市立みなみ学園義務教育学校/教諭)
◆額賀悠花 教諭 配置換え
鉾田市立鉾田南小学校/教諭
(笠間市立みなみ学園義務教育学校/教諭)
◆安達若菜 教諭 配置換え
ひたちなか市立那珂湊中学校/教諭
(笠間市立みなみ学園義務教育学校/教諭)
◆梶菜名子 事務職員 配置換え
小美玉市立玉里学園義務教育学校/係長
(笠間市立みなみ学園義務教育学校/係長)
◆海東美ゆき 教諭 配置換え
大洗町立南中学校/教諭
(小美玉市立小川南中学校/教諭)
◆友部拓也 教諭 配置換え
小美玉市立羽鳥小学校/教諭
(小美玉市立小川南中学校/教諭)
◆野村駿 教諭 配置換え
小美玉市立堅倉小学校/教諭
(小美玉市立小川南中学校/教諭)
◆三村恭子 養護教諭 配置換え
ひたちなか市立佐野中学校/養護教諭
(小美玉市立小川南中学校/養護教諭)
◆中本達也 教諭 配置換え
笠間市立友部中学校/教諭
(小美玉市立美野里中学校/教諭)
◆井能真由美 教諭 配置換え
茨城町立葵小学校/教諭
(小美玉市立美野里中学校/教諭)
◆晝岡結衣 教諭 配置換え
石岡市立府中中学校/教諭
(小美玉市立美野里中学校/教諭)
◆深谷朋恵 教諭 配置換え
笠間市立北川根小学校/教諭
(小美玉市立玉里学園義務教育学校/教諭)
◆新堀智子 教諭 配置換え
鉾田市立旭西小学校/教諭
(小美玉市立玉里学園義務教育学校/教諭)
◆茂呂陽子 教諭 配置換え
笠間市立友部第二小学校/教諭
(小美玉市立玉里学園義務教育学校/教諭)
◆高柳ゆかり 教諭 配置換え
小美玉市立竹原小学校/教諭
(小美玉市立玉里学園)
◆三井あすか 栄養教諭 配置換え
茨城町立長岡小学校/栄養教諭
(城里町立常北中学校/栄養教諭)
◆小池政博 教諭 配置換え
常陸大宮市立山方中学校/教諭
(城里町立桂中学校/教諭)
◆加藤希望 教諭 配置換え
ひたちなか市立前渡小学校/教諭
(ひたちなか市立勝田第一中学校/教諭)
◆照井哲律 教諭 配置換え
ひたちなか市立高野小学校/教諭
(ひたちなか市立勝田第一中学校/教諭)
◆川野健 教諭 配置換え
東海村立舟石川小学校/教諭
(ひたちなか市立勝田第一中学校/教諭)
◆齋藤裕樹 教諭 配置換え
笠間市立稲田中学校/教諭
(ひたちなか市立勝田第一中学校/教諭)
◆宇地原良二 教諭 配置換え
ひたちなか市立大島中学校/教諭
(ひたちなか市立勝田第一中学校/教諭)
◆大滝芹果 教諭 配置換え
那珂市立第四中学校/教諭
(ひたちなか市立勝田第一中学校/教諭)
◆自見亮太 教諭 配置換え
那珂市立瓜連中学校/教諭
(ひたちなか市立勝田第一中学校/教諭)
◆鐵祐美子 教諭 配置換え
ひたちなか市立佐野中学校/教諭
(ひたちなか市立勝田第一中学校/教諭)
◆大友昭範 教諭 配置換え
水戸市立笠原中学校/教諭
(ひたちなか市立勝田第二中学校/教諭)
◆佐藤航平 教諭 配置換え
笠間市立友部第二中学校/教諭
(ひたちなか市立勝田第二中学校/教諭)
◆小森拓 教諭 配置換え
ひたちなか市立勝田第一中学校/教諭
(ひたちなか市立勝田第二中学校/教諭)
◆小沼慶太郎 教諭 配置換え
ひたちなか市立那珂湊中学校/教諭
(ひたちなか市立勝田第二中学校/教諭)
◆石塚理恵 教諭 配置換え
日立市立台原中学校/教諭
(ひたちなか市立勝田第三中学校/教諭)
◆大津拓也 教諭 配置換え
大洗町立大洗小学校/教諭
(ひたちなか市立勝田第三中学校/教諭)
◆友常有加里 教諭 配置換え
那珂市立横堀小学校/教諭
(ひたちなか市立勝田第三中学校/教諭)
◆二川学 教諭 配置換え
ひたちなか市立那珂湊中学校/教諭
(ひたちなか市立佐野中学校/教諭)
◆肥髙カンナ 教諭 配置換え
水戸市立見川中学校/教諭
(ひたちなか市立佐野中学校/教諭)
◆我妻佳樹 教諭 配置換え
ひたちなか市立外野小学校/教諭
(ひたちなか市立佐野中学校/教諭)
◆荻谷美穂 教諭 配置換え
ひたちなか市立勝田第一中学校/教諭
(ひたちなか市立佐野中学校/教諭)
◆関村優斗 教諭 配置換え
つくば市立学園の森義務教育学校/教諭
(ひたちなか市立佐野中学校/教諭)
◆根本身奈 事務職員 配置換え
鉾田市立旭北小学校/主任
(ひたちなか市立佐野中学校/主任)
◆田村玉江 教諭 配置換え
那珂市立第四中学校/教諭
(ひたちなか市立大島中学校/教諭)
◆大森雅人 教諭 配置換え
ひたちなか市立勝田第一中学校/教諭
(ひたちなか市立大島中学校/教諭)
◆梶正憲 教諭 配置換え
ひたちなか市立長堀小学校/教諭
(ひたちなか市立大島中学校/教諭)
◆松田桂子 教諭 配置換え
ひたちなか市立那珂湊第三小学校/教諭
(ひたちなか市立大島中学校/教諭)
◆髙田寛貴 教諭 配置換え
ひたちなか市立佐野中学校/教諭
(ひたちなか市立大島中学校/教諭)
◆國府田美幸 教諭 配置換え
八千代町立八千代第一中学校/教諭
(ひたちなか市立田彦中学校/教諭)
◆高嶋里佳 養護教諭 配置換え
水戸市立国田義務教育学校/養護教諭
(ひたちなか市立田彦中学校/養護教諭)
◆澤田久美子 教諭 配置換え
水戸市立笠原中学校/教諭
(ひたちなか市立那珂湊中学校/教諭)
◆山口祐樹 教諭 配置換え
鉾田市立旭南小学校/教諭
(ひたちなか市立那珂湊中学校/教諭)
◆尾科恒宇 教諭 配置換え
東海村立東海中学校/教諭
(ひたちなか市立那珂湊中学校/教諭)
◆江原響 教諭 配置換え
鹿嶋市立鹿島中学校/教諭
(ひたちなか市立那珂湊中学校/教諭)
◆鈴木玲子 教諭 配置換え
ひたちなか市立前渡小学校/教諭
(ひたちなか市立美乃浜学園/教諭)
◆大森海里 教諭 配置換え
ひたちなか市立勝田第一中学校/教諭
(ひたちなか市立美乃浜学園/教諭)
◆柴田僚 教諭 配置換え
ひたちなか市立那珂湊第一小学校/教諭
(ひたちなか市立美乃浜学園/教諭)
◆菊池淳子 養護教諭 配置換え
東海村立村松小学校/養護教諭
(ひたちなか市立美乃浜学園/養護教諭)
◆松原誠 教諭 配置換え
鉾田市立鉾田南中学校/教諭
(大洗町立第一中学校/教諭)
◆西川有沙 教諭 配置換え
小美玉市立小川北義務教育学校/教諭
(大洗町立第一中学校/教諭)
◆長島瑠美 教諭 配置換え
大洗町立第一中学校/教諭
(大洗町立南中学校/教諭)
◆宮部友希 教諭 配置換え
つくば市立秀峰筑波義務教育学校/教諭
(大洗町立南中学校/教諭)
◆古橋怜音 教諭 配置換え
日立市立大久保中学校/教諭
(大洗町立南中学校/教諭)
◆佐手希望 教諭 配置換え
東海村立舟石川小学校/教諭
(東海村立東海中学校/教諭)
◆宇佐美翔 教諭 配置換え
ひたちなか市立那珂湊中学校/教諭
(東海村立東海中学校/教諭)
◆山口奈奈 教諭 配置換え
水戸市立緑岡中学校/教諭
(東海村立東海中学校/教諭)
◆中庭愛 教諭 配置換え
ひたちなか市立勝田第二中学校/教諭
(東海村立東海南中学校/教諭)
◆沼田宏輝 教諭 配置換え
北茨城市立磯原中学校/教諭
(東海村立東海南中学校/教諭)
◆河野達也 教諭 配置換え
那珂市立菅谷東小学校/教諭
(東海村立東海南中学校/教諭)
◆大曽根慧 教諭 配置換え
東海村立白方小学校/教諭
(東海村立東海南中学校/教諭)
◆宮部瑞樹 教諭 配置換え
土浦市立乙戸小学校/教諭
(東海村立東海南中学校/教諭)
◆久保木順 教諭 配置換え
水戸市立常澄中学校/教諭
(常陸大宮市立第二中学校/教諭)
◆滝江乃里子 教諭 配置換え
常陸太田市立瑞竜中学校/教諭
(常陸大宮市立大宮中学校/教諭)
◆白土大吾 教諭 配置換え
ひたちなか市立勝田第二中学校/教諭
(常陸大宮市立大宮中学校/教諭)
◆冨山康之 教諭 配置換え
常陸大宮市立大宮中学校/教諭
(常陸大宮市立山方中学校/教諭)
◆髙安利幸 教諭 配置換え
大洗町立第一中学校/教諭
(常陸大宮市立山方中学校/教諭)
◆田所真紀 教諭 配置換え
常陸大宮市立大宮中学校/教諭
(常陸大宮市立明峰中学校/教諭)
◆宇津木佑哉 教諭 配置換え
笠間市立笠間中学校/教諭
(那珂市立第一中学校/教諭)
◆古田雄飛 教諭 配置換え
那珂市立菅谷東小学校/教諭
(那珂市立第二中学校/教諭)
◆森尻真樹子 教諭 配置換え
那珂市立第三中学校/教諭
(那珂市立第二中学校/教諭)
◆髙木直哉 教諭 配置換え
那珂市立五台小学校/教諭
(那珂市立第三中学校/教諭)
◆小林亜紀子 教諭 配置換え
那珂市立瓜連小学校/教諭
(那珂市立第三中学校/教諭)
◆糸澤広幸 教諭 配置換え
ひたちなか市立田彦小学校/教諭
(那珂市立第三中学校/教諭)
◆福地宏之 教諭 配置換え
笠間市立笠間中学校/教諭
(那珂市立第四中学校/教諭)
◆櫻岡靖子 教諭 配置換え
常陸大宮市立第二中学校/教諭
(那珂市立第四中学校/教諭)
◆長谷川響 教諭 配置換え
水戸市立第二中学校/教諭
(那珂市立第四中学校/教諭)
◆加藤美紗子 教諭 配置換え
桜川市立岩瀬東中学校/教諭
(那珂市立第四中学校/教諭)
◆礒﨑靖子 教諭 配置換え
ひたちなか市立大島中学校/教諭
(那珂市立瓜連中学校/教諭)
※「 靖子」の姓が文字化けのため、正しい漢字が必要です。
◆新井麻理矢 教諭 配置換え
那珂市立菅谷東小学校/教諭
(那珂市立瓜連中学校/教諭)
(FNNプライムオンライン編集部)
