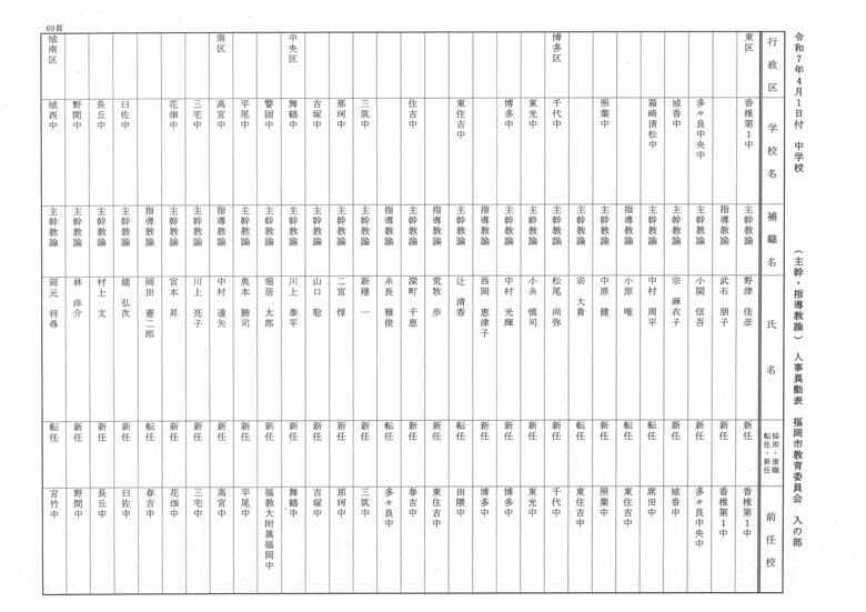
【全掲載】福岡市教職員の人事異動(3)あの先生はどの学校に… ギャラリー 4月1日付中学校(教職員)人事異動表 入の部 21/28 記事に戻る 4月1日付中学校(教職員)人事異動表 入の部 22/28 記事に戻る 4月1日付中学校(教職員)人事異動表 入の部 23/28 記事に戻る 4月1日付中学校(教職員)人事異動表 入の部 24/28 記事に戻る 4月1日付中学校(副校長)人事異動表 入の部 25/28 記事に戻る 4月1日付中学校(主幹・指導教諭)人事異動表 入の部 26/28 記事に戻る 4月1日付中学校(主幹・指導教諭)人事異動表 入の部 27/28 記事に戻る 4月1日付中学校(再任用校長)人事異動表 入の部 28/28 記事に戻る 1 2 3